Conversion d’énergie éolienne et point de fonctionnement
Introduction
Nous proposons ici d’introduire la notion de conversion d’énergie, à partir de l’énergie d’un fluide (air, eau) en énergie mécanique (couple) qui permettra la production d’électricité. Nous évoquerons d’abord la chaîne de conversion totale, de sa captation à son utilisation puis nous focaliserons sur la chaîne de conversion de l’éolienne.
Concepts de puissance et d’énergie
Il faut commencer par bien différencier la puissance de l’énergie. L’énergie est une grandeur qui permet de quantifier la capacité d’un système à changer son état. Que ce soit pour chauffer un four, déplacer une voiture ou allumer une lampe, on a besoin d’un apport d’énergie. La puissance est la quantité d’énergie qu’on dépense par seconde.
Prenons l’exemple d’une voiture : pour se déplacer sur 1 km, on aura besoin de dépenser une quantité d’énergie q, ce qui correspond à un certain volume d’essence V. Dans un cas idéal où la voiture se comporte de la même manière quelle que soit sa vitesse, la quantité d’énergie (et donc d’essence) à dépenser ne dépend pas de la vitesse mais que de la distance à parcourir. Dans la réalité, les moteurs sont optimisés pour fonctionner à une certaine vitesse et les frottements de l’air augmentent la quantité d’énergie à fournir si on se déplace à grande vitesse. Si on veut imposer le temps t dans lequel on va parcourir cette distance, on doit alors fournir à la voiture une puissance q/t.
De la même manière qu’on consomme de la puissance et de l’énergie, on en produit. Le terme production est utilisé dans la langue courante mais en physique on préfère parler de « conversion d’énergie » car on ne crée ni ne consomme jamais d’énergie, on la fait juste passer d’une forme à une autre. Dans le cas étudié ici, l’éolienne transforme l’énergie du vent en puissance électrique, que l’on va ensuite transporter jusque chez nous et que l’on va à nouveau transformer en énergie, lumineuse (lampes), mécanique (ventilation), ou thermique (four, chauffage…).
La chaîne de conversion de puissance dans une éolienne
Puissance d’un fluide
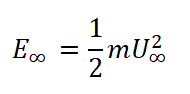
Le vent peut être définit comme un déplacement d’air entre deux points, à une certaine vitesse. C’est un objet comme un autre, donc de manière similaire à l’exemple de la voiture cité précédemment, on peut y associer une énergie et une puissance. C’est cette énergie du vent que l’on cherche à capter avec une éolienne. L’énergie cinétique d’une masse m d’air en mouvement à la vitesse U∞ est définie comme :

Et, comme d’habitude on peut définir la puissance comme :

Avec ΔE la variation d’énergie pendant le temps . Cette dernière expression peut se simplifier si on considère que le régime est stationnaire (pas de variations de U∞ en fonction du temps). La puissance d’un fluide de masse volumique ρ traversant une surface d’aire S s’écrit alors :

Rq1 :
En aérodynamique, on note en général la vitesse du vent U car on utilise V pour désigner un volume. La plupart du temps (comme ici) on considère la norme du vecteur vitesse.
Rq2 :
Il y a une relation cubique entre la vitesse et la puissance du fluide. Ainsi un fluide qui se déplace deux fois moins vite « apportera » huit fois moins de puissance. C’est pour cela que les relevés de vents sont très importants dans l’implantation d’un nouveau parc éolien.
C’est aussi pour cela qu’à diamètre égal, les éoliennes et les hydroliennes ont la même capacité de production : l’eau a beau être mille fois plus dense (ρeau ≈ 1000. ρair), les courants marins ou fluviaux sont souvent dix fois plus lents que le vent (respectivement de l’ordre de 1m/s contre environ 10m/s). Comme 103 = 1000, cela donne un P∞ du même ordre de grandeur. Les contraintes liées à l’environnement aquatique (raccordement électrique, oxydation, difficulté de maintenance, perturbation de la faune, impossibilité de faire de grandes pales), expliquent alors pourquoi les éoliennes sont plus répandues que les hydroliennes
Rq3 :
Cette énergie est l’énergie théoriquement récupérable par l’éolienne. Nous verrons dans la suite qu’en réalité on ne peut pas extraire toute l’énergie du vent avec une éolienne.
On connaît la puissance disponible dans le vent, mais comme pour les autres sources d’énergies (solaire, nucléaire, fossiles…), on ne peut pas récupérer sa totalité. Dans les parties suivantes, nous allons expliciter chaque étape de transformation de cette puissance du vent en puissance électrique. Chaque étape comporte des pertes, qui seront retirées du total de puissance électrique produite.
Le facteur d’induction
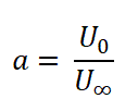
La puissance du vent vient de sa vitesse. Extraire cette puissance signifie donc réduire la vitesse du vent. C’est ce que fait une éolienne : pour produire de la puissance mécanique, elle « capte » la puissance du vent environnant via la rotation des pales. Si on a extrait une puissance Pe avec l’éolienne, il reste une puissance P0 dans le vent derrière l’éolienne, associée à une vitesse notée U0 .

On appelle facteur d’induction (que l’on écrit a) le rapport entre la vitesse du vent en amont, et celle au niveau de l’éolienne :

Le facteur d’induction représente donc à quel point l’éolienne freine le vent environnant. Quand a = 1, l’éolienne est transparente pour le vent : il se comporte comme si elle n’était pas là. A l’inverse quand a = 0, l’éolienne bloque complètement le vent, comme le ferait un mur.
Puissance mécanique de l’éolienne

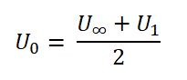
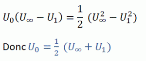
La vitesse au niveau de l’éolienne U0 peut s’écrire en fonction de la vitesse en amont U∞ et la vitesse en aval U1 de l’éolienne :

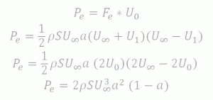
On peut calculer la force exercée sur les pales d’une éolienne dont les pales balayent une surface S :

Le détail pour trouver ces expressions est en annexe mais c’est hors programme de terminale STL.
Exemple d’exercice
1. Avec les deux expressions précédentes et la formule classique de la puissance, exprimer la puissance de l’éolienne en fonction de a, S, ρ, U∞.
Aide : il faut se débarrasser de U1, qui est une inconnue du problème. On rappelle que P = F.U

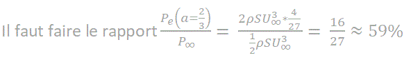
2. Déduire le facteur d’induction optimal pour lequel on maximise la puissance captée par l’éolienne

3. En utilisant l’expression de la puissance d’un fluide, conclure sur la part de cette puissance que l’on peut extraire d’un fluide en mouvement avec la configuration optimale.

Cette limite de 60% est la limite de Betz. Ce n’est pas réellement considéré comme une efficacité car les 40% manquants ne sont pas liés à des pertes. C’est plutôt un plafond de verre indépassable (pour des éoliennes classiques) lié à une limite physique. Si on voulait extraire toute l’énergie d’un fluide il faudrait l’arrêter complètement, mais alors le vent ne passerait plus à travers les pales de l’éolienne et elle s’arrêterait de fonctionner.
Couple et vitesse de rotation : le point de fonctionnement
Pour un mécanisme en rotation, la puissance se définit comme le produit d’une vitesse de rotation Ω et d’un couple T :

Le couple de l’éolienne correspond à la résistance que le rotor oppose à la rotation. Ω et T sont donc deux grandeurs antagonistes. Dans une éolienne industrielle, on contrôle la vitesse de rotation des pales afin de trouver le meilleur équilibre entre les deux, et donc la meilleure puissance.
On peut faire l’analogie avec un vélo. Lorsque l’on fait du vélo, on essaye toujours d’avoir une vitesse de pédalage constante. Pour y arriver, on joue sur les vitesses (qui contrôlent le couple qui s’oppose à la rotation des pédales). Le but est au final de produire le plus de puissance possible avec les pédales, puissance qui sera ensuite transmise aux roues via la chaîne. Dans l’éolienne, on contrôle la vitesse de rotation des pales mais le but est le même : produire le plus de puissance possible avec les pales, pour la transmettre à l’arbre moteur.
Efficacité et sources de dissipation
Chaine de transmission de la puissance
Une éolienne marche comme une chaîne de transmission de la puissance. La puissance mécanique de l’air est transformée et puissance mécanique de rotation du rotor, qui est transformée en puissance électrique par le générateur, qui est à nouveau convertie dans une forme facile à transporter par des câbles hautes tension. La puissance électrique n’est pas utilisée en tant que telle mais l’électricité est la meilleure manière de transporter de la puissance. On la transformera à nouveau sous forme de puissance thermique (four, chauffage électrique), mécanique (TGV, appareils électro-ménager) ou lumineuse (ampoules, LED).

À chaque étape, il peut y avoir une perte d’énergie, c’est à dire de dissipation.
Pales
Au moment de la transmission de puissance de l’air vers les pales, il peut y avoir plusieurs sources de pertes :
- Ce n’est pas vraiment une source de dissipation, mais il faut garder la limite de Betz en tête : on ne peut théoriquement pas extraire plus de 59% de l’énergie du vent. Les éoliennes réelles sont proches de cette limite théorique, mais ne l’atteignent en général pas.

- Les calculs que nous avons fait, qui permettent d’arriver à la limite de Betz, sont très idéalisés. En réalité, plusieurs facteurs vont réduire l’efficacité réelle :
- Un mauvais alignement de l’éolienne avec le vent incident.
- Les éoliennes qui se « gênent » entre elles : la présence d’une éolienne va ralentir le champ en amont (blocage) et en aval (sillage), réduisant ainsi la puissance potentiellement produite par les autres machines environnantes. C’est pour ça qu’on ne peut pas trop serrer les éoliennes les unes par rapport aux autres. La distance classique dans un parc est 5 fois le diamètre des éoliennes. A cette distance-là, les sillages réduisent la vitesse ambiante d’environ 20%. Même si 20% peut sembler faible, il faut garder en tête que la puissance potentielle est au cube de la vitesse : cela fait une réduction de puissance de presque 50% !
On notera que ce qui a été décrit ici ne sont pas des dissipations au sens de la dissipation thermique des programmes. Cette dernière dans le cas des fluides en mouvement rapide (appelé turbulent) est négligeable.
Chaine de transmission et générateur
C’est dans la chaîne de transmission que l’on trouve les premières dissipations thermiques conséquentes. En effet, la plupart des éoliennes terrestres utilisent une chaine de transmission, similaire à celle d’une voiture pour transférer le couple produit par les pales au générateur. En effet, les couple et vitesse de rotation optimaux du générateur ne sont pas les mêmes que ceux des pales de l’éolienne. Cela peut prendre la forme d’engrenages par exemple. Ces mouvements génèrent du frottement, qui dissipe une partie de l’énergie mécanique sous forme de chaleur. De manière similaire, le générateur, qui transforme l’énergie mécanique en énergie électrique est également la cible de pertes.
Conversion électrique
Lorsque le courant se déplace à travers un fil électrique, de nouvelles pertes apparaissent, également sous forme de dissipation thermique. C’est ce qu’on appelle l’effet Joule. Ce dernier dépend de la résistance du câble R et du courant I et s’écrit :

Or la puissance électrique s’écrit :

Où U est la tension électrique. Si on veut transmettre une quantité de puissance donnée P, il est donc préférable d’augmenter la tension et diminuer l’intensité électrique, d’où l’utilisation de lignes hautes tensions pour transporter l’énergie électrique à travers la France, voire l’Europe.
Annexe : détails des calculs dans la partie mécanique

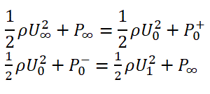
On utilise le théorème de Bernoulli : d’une part entre l’écoulement en amont (où la pression est égale à la pression atmosphérique P∞) et un plan juste avant l’éolienne (où la pression est égale à P0+), et d’autre part entre un plan juste après l’éolienne (où la pression est égale à P0–), et l’écoulement loin en aval, quand la pression est retournée à la pression atmosphérique :

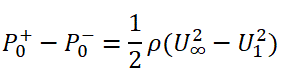
On soustrait les deux expressions, ce qui donne :

Or, la force exercée par le fluide sur l’éolienne, s’écrit :

Ce qui mène directement à l’équation recherchée.
On peut aussi exprimer la force du vent sur l’éolienne avec la loi de Newton pour un fluide en mouvement :

Où Dm est le débit massique du fluide. Ce dernier s’écrit, au niveau de l’éolienne :

En utilisant l’expression que l’on vient de démontrer
, cela donne :

Auteur : Erwan Jézéquel
